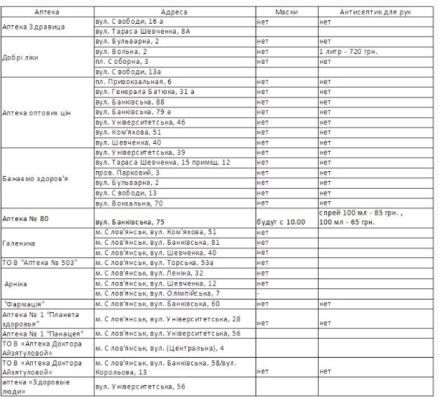
Маски и антисептики в аптеках Славянска: актуальная информация
Інтернет-видання "Карачун"
Перечень
Слов'янська міська рада інформує про наявність захисних масок та антисептиків для обробки рук в аптечних закладах міста Слов'янськ станом на 24.03.2020 р.